대학교 3학년 때, 처음으로 배운 전달 방정식과 광학적 깊이라는 개념이 이해가 잘 되지 않아 오랫동안 내용을 곱씹었던 기억이 난다.
광학적 깊이에 대한 개인적인 고찰들과 천문학 및 천체물리학 서론, 대학교 때의 천문학 노트 내용을 바탕으로 이 글을 써 본다.
이번 글은 광학적 깊이에 대해 다룰 것이다. 광학적 깊이를 이해할 수 있다면 전달 방정식도 어느정도 쉽게 이해할 수 있다.
1. 항성의 대기와 광학적 깊이

태양을 보면 가시광선으로 관찰하면 볼 수 있는 태양의 표면이 있는데 이것을 광구라고 부른다.
조금 더 깊이 생각해보면 태양이 주변부와 이렇게 명확한 경계가 있는 것 처럼 보이는 것은 무척 신기한 일이다.
태양은 대부분이 수소, 헬륨인 기체로 이루어져 있기 때문에 실제로는 명확한 경계가 없다.
우리가 이렇게 태양의 경계가 있는 것 처럼 보이는 이유는 대기가 가시광선에 대해 어느정도 '불투명'하기 때문이다.

예를 들어 구름을 본다고 생각해보자.
실제로 구름을 가까이서 보면 주변부와 명확한 경계를 가지지 않는다.
구름이 주변부와 경계가 있다고 생각하게 되는 이유는 구름 후면에서 오는 빛이 완전히 차폐되는 구역이 있기 때문이다.
이는 구름이 빛을 산란, 흡수하기 때문에 발생하는 현상이다.
구름의 불투명한 정도가 높으면 높을 수록 명확한 경계를 갖는 것처럼 보인다.

태양과 같은 항성의 대기에서도 이러한 현상이 일어난다.
태양을 보았을 때 내부 깊숙한 곳에서 핵융합이 일어나는 것을 직접 관찰할 수 없는 이유는 태양의 대기가 모든 파장에 대하여 어느 정도 불투명하기 때문이다.
그렇다면 우리가 보는 광구라는 곳은 어느 정도의 깊이를 보는 것인가?
정성적으로 말하자면 '내부에서 흘러 나오는 빛이 대기에 의해 흡수되어 거의 사라지는 부분'을 보고 있다고 할 수 있다.
이렇게 빛이 산란, 흡수, 반사되면서 제거되는 정도를 광학적 깊이라고 부른다.
2. 광학적 깊이의 정성적 사고
광학적 깊이란 빛이 산란, 흡수되어 제거되는 빛의 양을 의미한다.
소광(빛이 제거되는 정도되는 정도)되는 정도가 많으면 광학적 깊이가 깊다고 말하고, 소광되는 정도가 적으면 광학적 깊이가 얕다고 한다.

예를들어 위의 그림처럼 안개 속에 사람이 있다.
이 사람이 어느 방향을 보던, 균일하게 소광이 일어난다고 가정하자.
이때 가까운 곳을 보면 소광이 적게 일어날 것이다.
먼 곳을 볼 수록 소광이 많이 일어날 것이다.
가까운 곳을 볼 때는 광학적 깊이가 얕고, 먼 곳을 볼 때는 광학적 깊이가 깊다.
그렇다면 이 사람이 보았을 때 안개 속 공간의 경계는 어디일까?

안개 속에서 사람이 주변을 볼 때, 실제적으로 안개의 경계는 명확하게 단정지을 수는 없다.
하지만 경계를 대략적으로 구분 짓는다면, 안개 바깥에서 오는 빛이 모두 차폐되어 보이지 않는 지점을 경계라고 느끼게 될 것이다.
광학적 깊이에 다른 빛의 소광율은 지수함수적으로 일어나기 때문에 광학적 깊이가 1인 지점보다 더 먼 곳에서 오는 빛은 '거의 없다!'라고 할 수 있다.
따라서 이 사람이 보는 안개 속 공간의 경계는 광학적 깊이가 대략적으로 1이 되는 곳이다.
이를 조금 더 정량적으로 살펴보자.
3. 광학적 깊이의 정량적 사고

소광만 일어날 경우에 광학적 깊이는 어떻게 될까?
두께 dx인 가스를 지나는 빛의 플럭스 변화(세기 변화)를 구해보자.
이때 가스를 지나는 빛의 플럭스 변화량은 물질의 불투명도, 밀도, 그리고 통과한 거리에 비례할 것이다.
또한 빛의 세기가 약해지므로 변화량은 음수(-)를 가질 것이다.
이를 이용하여 식을 세우면 아래와 같다.


이는 아래와 같이 정리할 수 있다.

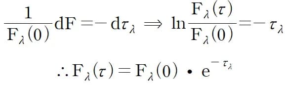
이때 광학적 깊이는 빛이 제거되는 정도이므로 이를 거리에 대해 미분하여 다음과 같이 정의하겠다.

광학적 깊이를 이용하여 0~tau까지 적분하면 아래와 같은 식을 얻는다.

위의 수식을 이해하기 위해 지수함수에 대한 그래프를 그려보자.

y=exp(-x) 그래프를 그렸을 때, x=1이 되면 y값은 대략 0.368로 줄어든다.
따라서 광학적 깊이의 크기가 1보다 클때와 작을때로 구분할 수 있다.
만약 광학적 깊이가 1보다 크다면 광학적으로 불투명하여 통과할 수 있는 광자의 수가 확연하게 줄어들며, 광학적 깊이가 1보다 작다면 광학적으로 투명하여 광자가 통과하는 양이 많다.
τ >1 : 광학적 두께가 두꺼움(광학적 깊이가 깊음). 불투명하여 광자가 통과하기 어려움.
τ <1 : 광학적 두께가 얇음(광학적 깊이가 얕음). 투명하여 통과하는 광자의 수가 많음.4. 결론 - 광학적 깊이란 무엇인가?
1) 광학적 깊이란 빛이 제거된 정도를 말한다. 다르게 말하면 불투명한 정도를 나타낸 것이다.
2) 광학적 깊이는 물질의 밀도, 불투명도, 빛이 통과한 거리에 관계가 있다.
3) 빛이 제거된 정도가 크다면 광학적 깊이가 깊다, 혹은 광학적 깊이가 두껍다고 한다.
4) 빛이 제거된 정도가 작다면 광학적 깊이가 얕다, 혹은 광학적 깊이가 얇다고 한다.
이번 글에서는 광학적 깊이에 대해 알아보았다.
광학적 깊이는 단순하게 소광만 일어나는 상태만을 가정하였기 때문에 전달 방정식보다는 쉬운 편이다.
광학적 깊이는 지구과학 임용을 준비하는 사람들에게는 아주 친숙한 내용이다.
지구 대기에서 각도에 따른 대기투명도, 은하면에서 방향에 따른 소광 정도를 구할 때 자주 쓰게 된다.
하지만 별의 대기에서는 소광과 발광이 동시에 일어난다.
이러한 경우에서는 전달 방정식을 사용하여야 한다.
아래 글에서 전달 방정식에 대해 알아보도록 하자.







댓글을 불러오는 중...