Al buscar sobre el teorema de Virial, parece que no está explicado con claridad, así que decidí escribir este artículo.
Probablemente será útil para quienes están preparándose para el examen de ingreso docente o estudiantes de escuelas científicas.
Antes de leer, asegúrate de entender cómo describir físicamente la energía mecánica y la energía potencial, así como el movimiento circular.
En este artículo exploraremos el teorema de Virial, y en el próximo, aprenderemos sobre la estimación de la masa de una galaxia a través del teorema de Virial.
1. El teorema de Virial
El teorema de Virial es un teorema que describe la fuerza entre varias partículas que se mueven de manera desordenada.
En astronomía, se utiliza el teorema de Virial porque la formación de estrellas y galaxias no ocurre en un solo punto de masa, sino que se compone de la suma de varios puntos de masa que se mueven irregularmente.

En astronomía, el teorema de Virial es la suma del momento y la dirección de las partículas.
Por ejemplo, si hay una galaxia con solo tres estrellas como en la ilustración arriba.
Entonces se debe sumar el producto del momento y la dirección de todos los cuerpos celestes en la galaxia. Si calculamos el teorema de Virial en esta galaxia, sería como se muestra a continuación.

Al ver directamente los valores anteriores, es difícil de entender, pero al observar la variación del valor de Virial con el tiempo, se puede entender mejor su significado.
Para ello, primero veamos qué significa derivar el producto del momento y la dirección con respecto al tiempo. Definiremos primero la ecuación como se muestra a continuación.
Masa del objeto = m, velocidad = v
Aceleración = a, momento = p = m * v
Gravedad = F
dp/dt (variación del momento con respecto al tiempo) = ma = FSi demarcamos el producto de la distancia y el momento respecto al tiempo, obtenemos la siguiente ecuación.

Aquí, la variación del momento respecto al tiempo es la fuerza, y la variación de la distancia respecto al tiempo es la velocidad, así que esta ecuación puede reescribirse como se muestra a continuación.

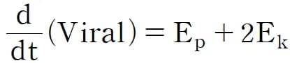
Al final, al derivar el producto del momento y la dirección respecto al tiempo obtenemos la suma de la energía mecánica de un objeto.
De manera similar, al derivar el valor de Virial con respecto al tiempo se obtiene la suma de la energía mecánica de un sistema.
Esa suma es igual al doble de la suma de la energía potencial y la energía cinética del sistema.

Si realizamos el teorema de Virial en la galaxia anterior y lo derivamos con el tiempo, obtendremos la suma de la energía mecánica de las estrellas A, B y C.
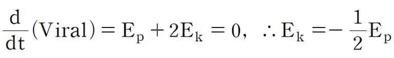
Si una galaxia o una nebulosa están en un estado estable y equilibrado, no debería haber cambios en la energía mecánica.
Por lo tanto, el cambio en el valor de Virial también debe ser cero.

En una galaxia o nebulosa estable y equilibrada, la cantidad total de energía mecánica interna es la mitad de la cantidad total de energía potencial.
A través de esto, se puede calcular la masa de cualquier galaxia o nube de gas si se conocen el tamaño, la dispersión de velocidad y la temperatura.
2. El teorema de Virial en sistemas inestables
Si el sistema no está en un estado estable, el Virial cambiará constantemente.
Si el valor de Virial disminuye, el sistema se contraerá, y si aumenta, el sistema se expandirá.
Esto se puede usar para calcular la masa máxima que puede contraerse mientras una estrella se está formando.

3. Comprender el teorema de Virial con física de secundaria
Veamos cómo se puede entender este teorema a nivel de secundaria de manera sencilla.
Los cuerpos celestes están sujetos unos a otros por la gravedad.
El teorema de Virial es la integral de todos los cuerpos celestes unidos, pero finalmente es igual a la suma de las energías mecánicas de un solo cuerpo celeste.
Por lo tanto, vamos a explorar cómo se calcula la energía mecánica de un solo cuerpo celeste.

Supongamos un cuerpo de masa m orbitando alrededor de la Tierra, como se muestra arriba.
El cuerpo orbita alrededor de la Tierra.
En este momento, la energía mecánica del cuerpo es la siguiente.

Calculemos la velocidad del movimiento circular.
El movimiento circular ocurre debido a la fuerza gravitacional, por lo tanto, la fuerza centrípeta y la fuerza gravitacional deben ser iguales.
Si organizamos esto con respecto a la velocidad:

Podemos obtener una ecuación como esta.
Insertemos esto en la energía mecánica del cuerpo celeste escrita al principio. Entonces...

Llegamos a la conclusión que se muestra arriba.
Finalmente, en un sistema gravitacionalmente confinado, la suma total de la energía cinética es la mitad de la energía potencial.
Esto es exactamente el mismo resultado que obtenemos del teorema de Virial.

Lo importante es cómo se puede usar esto para estimar la masa de un cuerpo celeste.
Esto será tratado en la próxima publicación.
4. El teorema de Virial y la emisión de radiación
¿Cuál sería la cantidad total de energía de un sistema si un cuerpo muy distante se acercara a la Tierra y quedara atrapado por ella?
Si suponemos que el objeto estaba en reposo al principio, la cantidad total de energía del sistema habría sido cero.

Pero si ese cuerpo es atraído gravitacionalmente y empieza a orbitar alrededor de la Tierra, la energía potencial disminuirá y se convertirá en energía cinética.

En este caso, si calculamos la cantidad total de energía del sistema asumiendo que es un sistema ‘estable’, curiosamente, la energía es menor que al inicio.

La mitad de la energía potencial del cuerpo atrapado ha desaparecido.
La energía que falta se convierte en calor.
Dado que el espacio es un vacío, la energía no se pierde a través de conducción o convección, pues se queda en el sistema.
Sin embargo, la radiación puede liberarse al espacio, por lo que en un sistema estable, esa cantidad de energía debe dejar el sistema a través de 'emisión radiante'.
5. Conclusión: ¿Qué es el teorema de Virial?
1) El teorema de Virial es la suma de los momentos y direcciones de los puntos de masa dentro de un cuerpo celeste.
2) La variación del valor de Virial con el tiempo determina la estabilidad del cuerpo celeste.
3) En un cuerpo celeste estable y equilibrado, no hay cambio en el valor de Virial, permitiendo así estimar su masa.En el próximo artículo, exploraremos cómo estimar la masa de un cuerpo celeste utilizando el punto 3). Si deseas continuar leyendo, por favor accede al enlace a continuación.







댓글을 불러오는 중...