今日は天体までの距離を推算する方法の一つである運動星団について紹介しようと思います。
この内容を理解するには視線速度、接線速度、空間速度に関する概念が必ず必要です。
そしてLSRに対する理解があればさらに良いです。
もしこの内容を知らない場合は以下の内容を参考にしてみてください。
1. 運動星団

星団は太陽のように我々の銀河の周囲を公転しています。
星団内での星の動きは不規則ですが、全体的に見ると星は一方向に動いています。
このように同じ方向に星が動いているように見える星団を運動星団と言います。
運動星団の星はLSRに対してすべて似た方向に特異運動をします。
この時星の動きを延長すると天球上の一点で集まることになります。
この点を収束点と言います。

例えば、上記のように互いに平行で、同じ方向に置かれたレールを考えてみましょう。
レールが互いに交わることはありませんが、観察者が見た時には一点に収束しているかのように見えます。
星団内での星の動きも同様です。
星たちが星団内で各々異なって動いていても、星の動きは星団の運動方向に収束しているように見えます。

運動星団として知られている代表的な星団はヒアデス星団です。
この星団は1900年代初頭に運動がすべて分析された結果、すべての星の運動が一つの収束点に収束します。
そして星団が近く、天球上で比較的大きな視直径を持っているため、固有運動を通じて収束点を把握しやすいです。
2. 運動星団を通じた距離測定


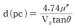
星団と星団の収束点の間の角距離 θ は星団の視線運動と固有運動の間の角度と同じです。
星団の運動方向を知っていれば、星団内の任意の星について視線速度を求めるだけで星団までの距離を測定できます。
星の空間運動速度 V と視線速度 Vr、接線速度 Vt は以下のような関係を持ちます。

ここで以前の記事で星の固有運動と視線速度の関係式を利用すると、以下の結論を得ることができます。


3. 結論: 運動星団を用いた距離測定
運動星団までの距離を測定するには以下の条件が必要です。
1) 比較的天球上で大きなサイズを持つ星団(近い星団)に適用できる。
2) 星団内にある星の固有運動、視線速度、収束点を測定できること。
3) 星団の運動を通じて星団までの距離を最大500pc以内で求めることができる。 






댓글을 불러오는 중...