前回の記事でビリアル定理について扱った。
今回はビリアル定理を通じて銀河の質量を推定する方法について述べようと思う。
ビリアル定理が何か分からない場合、以下の記事を参考にしてほしい。
1. ビリアル定理を用いた銀河の質量推定
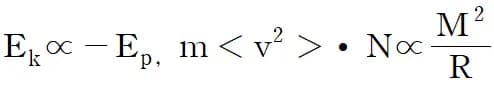
質量がM、半径がRのある楕円銀河に質点がN個均一な密度で含まれていると仮定しよう。

この球体が持つ力学的エネルギーと運動エネルギーを以下のように表すことができる。

数式を上記のように比例でのみ表現した理由は以下の通りである。
1) 球体の力学的エネルギーを求めるためには球殻の力学的エネルギーを積分しなければならない。
2) 球体内の粒子の平均的力学的エネルギーを求めるために速度分散を利用する。銀河や星団のスペクトルを測定する際、天体内部で星の動きがすべてバラバラなので、赤方偏移と青方偏移が共に現れる。これにより線幅が広く測定され、これをドップラー線幅増加と呼ぶ。このような方法を通じて銀河内での速度分散を知ることができる。さらに定量的な公式を求めるなら、均一な球体の力学的エネルギーは内部質量に対して外部の質点がどれほどの力学的エネルギーを持っているかをすべて積分しなければならない。
もう一つの問題は、外部にこのような質点が内部質量を囲んでいるということ。

従って球の体積を求める公式で内部質量を求め、球の表面積を求める公式で質点の量を求める必要がある。
もちろん、体積に密度を掛けて質量を求めなければならない。これを公式で表現すると以下の通りである。

ここで球体の全体密度は全体質量に体積を分けたものであり、これを再び表現すると以下の通りである。

このようにして公式が成り立つ。 それで単に比例式で表現したのである。
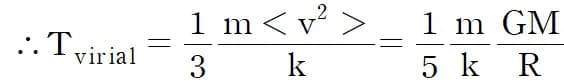
安定した系内で運動エネルギーは力学的エネルギーの半分と等しいことを知っている。
したがってこれを再び比例式で表現すると以下の通りである。

ここで質点と質点の数の積は全体の質量と等しいので、これを変換すると以下のように数式が変わる。

この数式が示唆するのは楕円銀河や銀河団のような天体の速度分散と半径を測定すれば質量を求めることができるということ。
速度分散はドップラー線幅増加で、半径は角直径で求められるので、これら2つを測定するだけで天体のおおよその質量を推定することができる。
2. ガス星雲の質量推定
ガス星雲の場合 気体粒子の力学的エネルギーはすなわち熱エネルギー であるので、以下のように求めることができる。


この数式を簡単に比例として表すと以下の通りである。

この数式が意味するのは ガスの温度を測定すれば質量を推定できる ことである。
3. ビリアル定理による質量推定と暗黒物質
上記の5と6の方式、つまり ビリアル定理で銀河または星団、星雲の質量を推定 することになる。
これを 重力による質量、または力学的質量 と呼ぶ。
しかし、ここでまた別の方法で天体の質量を推定する方法がある。それは 主系列星の質量-光度関係 である。
簡単に言うと 質量が大きければ大きいほどより多くのエネルギーを発する ということ。
したがって 銀河と星の光度を測定すれば、それに応じたおおよその質量を推定 することができる。
力学的質量と光を放つ物質の質量を比較すれば、暗黒物質の存在を知ることができる。

暗黒物質は光を出さないため、暗黒物質が多ければM/L値は1よりはるかに大きくなり、暗黒物質が少なければ1に近い値になるだろう。銀河と銀河巨大構造のM/L比を見ると以下の通りである。
| 渦巻銀河 | 楕円銀河 | 銀河グループ | 銀河団 |
M/L比 | 2~10 | 1~200 | ~180 | ~200 |
これは暗黒物質が存在することを意味する。
4. 結論
1) 楕円銀河、星団など天体内で星の速度分散と半径を測定するとビリアル定理で銀河の質量を推定することができる。

2) ガスで構成された天体の温度と半径を測定するとビリアル定理で銀河の質量を推定することができる。

3) ビリアル定理で推定した天体の質量と光学的明るさで推定した天体の質量比(M/L)の値が1より非常に大きいのは、暗黒物質の存在を示唆する。
今回の記事ではビリアル定理を通じて銀河の質量を推定し、これを通じて計算した銀河の質量と光を放つ物質の質量を比較して暗黒物質の存在について考察した。
科学技術が進化した今でもまだ発見できないものが多いということが驚くばかりである。
誤りがある場合や質問がある場合にはコメントしてください。







댓글을 불러오는 중...