Para leer este artículo, es necesario comprender la gravedad diferencial y las fuerzas de marea.
Revisemos el contenido anterior sobre las fuerzas de marea.
1. Límite de Roche [Roche limit]
¿Qué sucedería si, al aplicar fuerzas de marea entre dos cuerpos celestes en el espacio, la fuerza de marea del planeta supera la gravedad del satélite?
En este caso, el satélite se alargará debido a la fuerza de marea y se desintegrará.
El radio orbital dentro del cual un satélite puede acercarse a un planeta sin desintegrarse debido a las fuerzas de marea se llama límite de Roche.
2. Deducción del límite de Roche
1) Intentemos entender el límite de Roche a partir de la fórmula de las fuerzas de marea de la vez anterior. Primero, definiré los símbolos a utilizar como sigue:
Masa y radio del planeta = M, R
Radio y masa del satélite = m, r
d = Distancia entre los dos cuerpos celestes2) La magnitud de la fuerza de marea se determina como sigue:

3) Si llamamos m a la masa del satélite que se acerca al planeta, la gravedad que actúa sobre una unidad de masa en el satélite se puede expresar como sigue:

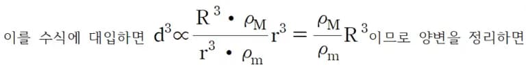
4) El límite de Roche se calcula cuando la fuerza de marea supera la gravedad del satélite. Usando ambas ecuaciones, se obtiene el siguiente resultado:

5) En este momento, tanto el planeta como el satélite pueden considerarse esferas. Calculando el volumen de ambos, se obtiene lo siguiente al sustituir en la ecuación:


3. Interpretación del límite de Roche
Ahora interpretemos el valor obtenido al final. Lo más importante no es el valor en sí, sino cómo se interpreta.
- Cuando la densidad y el radio del planeta son constantes, el límite de Roche es inversamente proporcional a la densidad del satélite.
- Cuando la densidad del planeta y del satélite son constantes, el límite de Roche es directamente proporcional al radio del planeta.
- Cuando el radio del planeta y la densidad del satélite son constantes, el límite de Roche es directamente proporcional a la densidad del planeta.Lo importante aquí es que el límite de Roche no está relacionado con el radio del satélite, es decir, con su tamaño, sino que es inversamente proporcional a su densidad y depende del tamaño y la densidad del planeta, es decir, de la masa del planeta.
Cuanto más grandes sean la densidad y el tamaño del planeta, más amplio será el límite de Roche.
Un satélite no puede acercarse demasiado a un planeta y, si se acerca más allá del límite de Roche, el satélite se desintegrará en pequeños fragmentos debido a la fuerza de marea.
4. Límite de Roche de los satélites que orbitan Saturno
En Wikipedia puedes encontrar los límites de Roche de varios planetas en el sistema solar.
Hoy, utilizando datos físicos de los planetas disponibles en Wikipedia, intentaremos estimar el límite de Roche alrededor de Saturno y verificar si las ubicaciones de los satélites de Saturno contravienen este límite.
Primero, observemos los datos físicos de Saturno, que son los siguientes:
Radio de Saturno: 60,267 km
Densidad de Saturno: 687.3 kg/m^3
Dado que hemos fijado el planeta como Saturno en la fórmula anterior, el límite de Roche alrededor de Saturno depende únicamente de la dureza del satélite, es decir, de su densidad. Usando los valores estimados de la densidad de los satélites que orbitan Saturno, se puede calcular el límite de Roche.
Planeta | Satélite | Radio orbital / Límite de Roche | |
Cuerpo sólido (sólido) | Fluido (gas, líquido) | ||
Saturno | Pan | 142% | 70% |
Atlas | 156% | 78% | |
Prometeo | 162% | 80% | |
Pandora | 167% | 83% | |
Epimeteo | 200% | 99% | |
Jano | 195% | 97% | |

A través de esta información, se puede deducir que los satélites de Saturno existen aproximadamente fuera del límite de Roche.
Si la densidad del satélite es mucho mayor que la de Saturno, el satélite colisionará con Saturno antes de alcanzar el límite de Roche.
Por lo tanto, no puede llegar al límite de Roche.
5. Conclusión
Hemos explorado desde las fuerzas de marea hasta el límite de Roche, el rango en el que un planeta puede destruir un satélite a través de la gravedad diferencial.
Los anillos que existen alrededor de los planetas están, en su mayoría, dentro del límite de Roche.
Algunos de los anillos de Saturno se encuentran fuera del límite de Roche, lo que sugiere que pudieron haber sido destruidos al pasar por dentro del límite de Roche o porque fallaron en fusionarse como lunas cuando se formó el planeta primitivo.
Se puede pensar que los anillos alrededor de un planeta son satélites capturados o fragmentos de un satélite que se acercó demasiado al límite de Roche y se desintegró.
Espero que al observar los anillos de Saturno y los satélites incrustados entre ellos, crezca tu imaginación física sobre el constante tira y afloja entre planetas y satélites.








댓글을 불러오는 중...