高校でH-R図と恒星の進化過程を学ぶとき 太陽の寿命が概ね100億年であることを学んだはずだ。
主系列にとどまる時間が恒星の生涯の大部分であるため, 主系列にとどまる時間 ≈ 恒星の寿命 と言える。
これまで人類は太陽のような恒星が生まれ、死ぬ瞬間を観測したことは一度もない。
しかし、どうして太陽の寿命が概ね100億年であると分かったのだろうか?
1. すべての恒星の基準となる恒星、太陽の寿命と恒星の寿命
宇宙で最も多く観測記録を持つ恒星は太陽である。
そのため、金属元素の含有量、恒星の光度、寿命といった恒星のいくつかの値は太陽を基準に表されることが多い。
一般に 太陽の寿命は100億年と聞いたことがあるだろう。これらの値は以下のような過程を経て算出されたものである。

太陽の質量、光度などの情報をすべて知っている。
主系列星での エネルギー反応は核融合によって起こり、 4つの水素が1つのヘリウムに核融合が起きる間に 水素原子1個あたり約0.0072の原子量損失があり、これが エネルギーとして放出される。
恒星の質量のうち10%のみが主系列での核融合反応に参加する。
出せるエネルギーの総量 ÷ 恒星の光度 = 恒星の寿命である。
2. 水素核融合反応と質量欠損

恒星における水素核融合反応は主に二つの経路で行われる。ひとつはP-P chain reaction(P-P連鎖反応)、もうひとつはC-N-O cycle(CNOサイクル)である。
これらがどのような経路で核合成を行うかはここでは扱わない。
ここで注目するのは 両反応とも4つの水素を1つのヘリウムに核融合するということである。

このとき 水素(H)の原子量は1.008で、 ヘリウム(He)の原子量は4.002602である。
これを用いると 4つの水素と1つのヘリウムの原子量を比較すると0.029398の原子量差が生じ、 水素1個あたり0.0073495の原子量損失がある。
これを水素の原子量で割ると 水素核融合が起きるとき約0.00729倍の質量欠損が生じるということが分かる。
このとき質量の欠損分だけの エネルギー(E)が生成され放出されて宇宙空間へ逃げる。 このとき生成されるエネルギーの量はアインシュタインの質量-エネルギー等価原理(E=mc2)により求められる。
3. 恒星の10%、核融合に参加できる質量
恒星の核融合は核で起こる。
このとき 核の質量は総質量の10%である。これを用いれば恒星が主系列にある間に放出できるエネルギーの総量が求まる。
太陽の質量を用いてこれを求めると以下のようになる。
これを用いると太陽が主系列の間に放出できるエネルギーの総量は以下の通りである。


4. 太陽の寿命
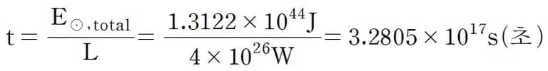
ここで最後に 太陽の寿命(t)を求めよう。太陽の寿命は上記のようにエネルギーの総量を光度で割ればよい。

このときエネルギーの総量と光度をそれぞれJ、Wを使用したため恒星の寿命(t)は「秒」で出てくる。
これを1年単位に換算して計算しよう。
上の値を365日*24時間*60分*60秒で割ればよい。

これを用いて太陽のおおよその寿命を推定できる。
5. 質量が異なる恒星の寿命
太陽の寿命がおおよそ100億年であるという事実を用いれば、他の質量を持つ恒星の寿命もおおよそ推定できる。
一般に 主系列における恒星の質量と光度は概ね以下のような関係を持つ。
恒星の光度は質量の三乗に比例する。
ただし、この式は不透明度を無視するなど多くの近似を含む。
大まかには光度は質量の2.3~4乗に比例すると考えればよいだろう。
この事実を用いて 恒星の寿命(t*)を求めよう。
太陽を基準に表すので、下側に 太陽の寿命(t⊙)を割って計算すれば0.1のような 定数が割り算されて簡単に表現できる。

このとき恒星の光度は大体質量の三乗に比例するのでこれを次のように表せる。

太陽の寿命(t⊙)が100億年であることを用いれば 恒星の質量さえ分かれば概ねの寿命を推定できる。
上の式を通して 質量が大きいほど寿命が短く、主系列を速く離脱する理由を定量的に推定できる。
6. おわりに
今回は 簡単に太陽の寿命を求める方法について見てきた。
次回は前述した 主系列における恒星の質量 - 光度関係がどのように推定されるかを定量的に見ていこうと思う。
この文章が天文学を好きな若い学生たちにとって大いに役立てば幸いである。






댓글을 불러오는 중...