Estaba escribiendo sobre cúmulos estelares en movimiento y pensé que también debería escribir sobre la velocidad espacial de una estrella.
Vamos a explorar la velocidad radial, la velocidad tangencial y la velocidad espacial de una estrella.
1. Velocidad radial, velocidad tangencial y velocidad espacial de una estrella

El movimiento general de los cuerpos celestes suele ser en direcciones aleatorias respecto al observador.
La velocidad real a la que se mueve la estrella en el espacio se llama velocidad espacial.
Y la velocidad hacia la dirección visual del observador se llama velocidad radial, y la velocidad perpendicular a la dirección visual se llama velocidad tangencial.
2. Medición de la velocidad radial
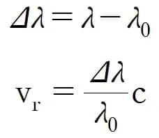
La velocidad radial se puede calcular utilizando el efecto Doppler en las líneas espectrales.
Comparando la longitud de onda observada (λ) con la longitud de onda propia medida en el laboratorio (λ0), se obtiene el desplazamiento Doppler (∆λ), y de ahí se puede calcular la velocidad radial de la estrella.


Si la estrella se aleja del observador, se produce un desplazamiento al rojo y la longitud de onda del espectro observado se alarga.
En este caso, la velocidad radial es positiva.
Si la estrella se acerca al observador, se produce un desplazamiento al azul y la longitud de onda del espectro observado se acorta.
En este caso, la velocidad radial es negativa.
3. Medición de la velocidad tangencial
Debido a la velocidad en dirección tangencial de la estrella, parece que se mueve en la esfera celeste, a esto se le llama movimiento propio.
El movimiento propio se mide en cuántos segundos de arco se ha movido en un año y la unidad es ''/yr.
Por ejemplo, la estrella de Barnard es un ejemplo representativo de estrellas con gran movimiento propio.
El valor del movimiento propio de la estrella de Barnard es 10,3"/yr. La imagen a continuación muestra el movimiento de la estrella de Barnard desde 1985 hasta 2005.

El movimiento propio permite calcular la velocidad tangencial de la estrella.
Supongamos que una estrella que muestra un movimiento propio (μ) está a una distancia d.

Dado que la distancia a la estrella es mucho mayor que el movimiento de la estrella, se puede considerar como parte de un movimiento orbital.
Por lo tanto, considerando el movimiento propio como velocidad angular y la distancia como el radio del movimiento orbital, la velocidad tangencial se expresa como el producto de estos dos valores.

La unidad de velocidad tangencial es km/s, por lo tanto, al multiplicar los valores anteriores, se deben unificar las unidades.
Si multiplicas '' (segundos) por pc, obtienes la unidad Au, y si conviertes 1 año a segundos para calcular, obtendrás el siguiente valor.

Si se sustituye en la ecuación anterior el valor real de 1 Au, 149,597,870,700m, se obtiene aproximadamente 4.74km/s.
Al utilizarlo, si ajustamos nuevamente los valores de ambos lados, queda como a continuación.

4. Velocidad espacial de una estrella
La velocidad espacial de una estrella se puede calcular mediante el teorema de Pitágoras.
La velocidad espacial es la raíz cuadrada del valor sumado de los cuadrados de la velocidad radial y la velocidad tangencial.

4. Conclusión
Las estrellas se mueven en todas las direcciones. La velocidad de una estrella se llama velocidad espacial. La velocidad espacial es la suma de la velocidad radial y la velocidad tangencial.
La velocidad en la dirección visual se llama velocidad radial. La velocidad radial se mide mediante el efecto Doppler.
La velocidad en la dirección tangencial se llama velocidad tangencial. Si se conoce la distancia a la estrella, se puede calcular la velocidad tangencial a través del movimiento propio.
La velocidad espacial se puede calcular utilizando el teorema de Pitágoras con la velocidad radial y la velocidad tangencial.






댓글을 불러오는 중...