En astronomía, se utiliza un método llamado ángulo de la periapsis para representar un planeta o cuerpo celeste moviéndose en una órbita elíptica en un sistema de coordenadas.
Sin embargo, antes de leer este artículo, se recomienda conocer conceptos básicos sobre las propiedades geométricas de las elipses, las leyes de Kepler y la descripción del movimiento circular.
1. Ángulo de la Periapsis
El ángulo de la periapsis se refiere a la distancia angular (ángulo) que separa a un cuerpo celeste del pericentro de su órbita.
El ángulo de la periapsis se mide en sentido contrario a las agujas del reloj desde el pericentro.
¿Por qué definir el ángulo de la periapsis cuando ya existe la ecuación de la elipse?

Pensemos en Júpiter, que orbita alrededor del Sol como en la imagen de arriba.
Puesto que el Sol, el factor más importante que afecta el movimiento orbital de Júpiter, está en uno de los focos de la elipse, mover el eje del sistema de coordenadas a uno de los focos de la elipse permite expresar varios factores fácilmente.
Por ejemplo, mediante el uso del ángulo de la periapsis, el semieje mayor (a) y la excentricidad (e), se puede expresar fácilmente la velocidad orbital de Júpiter en el sistema de coordenadas.

2. Tres componentes de la órbita elíptica para el ángulo de la periapsis

En el ángulo de la periapsis, todos los componentes se expresan mediante el semieje mayor (a), el semieje menor (b) y la excentricidad (e).
Aunque quienes conocen la ecuación de la elipse pueden estar familiarizados con los semiejes mayor y menor, el concepto de excentricidad (e) puede no ser tan conocido.
La excentricidad es un valor obtenido al dividir la distancia focal de cada órbita entre el semieje mayor de la órbita e indica el grado de aplanamiento de la órbita.
La excentricidad tiene un valor entre 0 (un círculo perfecto) y 1 (una línea recta).

3. Representación de la distancia Sol-planeta mediante el ángulo de la periapsis
Ahora intentemos expresar la distancia (r) entre el Sol y un planeta en función del ángulo de la periapsis (θ).
Supongamos que, como en la imagen de abajo, el Sol está en el foco derecho y el planeta está en la posición con un ángulo de la periapsis θ desde el pericentro.

En este caso, podemos suponer un triángulo rectángulo como se muestra en la imagen de abajo.
Aquí, se puede aplicar el teorema de Pitágoras.

Resolvamos esta ecuación paso a paso.
Aquí, dado que sin²θ + cos²θ = 1, se puede eliminar r² de ambos lados.
Dividamos ambos lados por 4 y simplifiquemos.

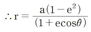
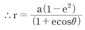
Ahora, si simplificamos respecto a r, obtendremos la siguiente ecuación.

Con esta ecuación, se puede calcular la distancia entre el Sol y un planeta utilizando el ángulo de la periapsis, el semieje mayor y la excentricidad.
4. ¿Qué es el ángulo de la periapsis?
Se refiere a la distancia angular de un planeta desde el pericentro.
La razón para usar el ángulo de la periapsis es para expresar la posición y velocidad de un planeta de manera más sencilla.
La distancia entre el Sol y un planeta se puede expresar de la siguiente manera:

5. Conclusión
Hoy hemos aprendido sobre el ángulo de la periapsis, que es el fundamento al estudiar la mecánica del sistema solar.
Recuerde que esta fórmula se puede aplicar no solo al sistema solar, sino a todos los cuerpos celestes.
La próxima vez, escribiré sobre cómo calcular la velocidad y la energía mecánica de los planetas utilizando el ángulo de la periapsis.






댓글을 불러오는 중...